Atmospheric models

The temporal statistics of the wind-scatter models introduced in Chapter 2.3 are discussed in some detail by Aime et al. (1986); Roddier et al. (1982a). They highlight the fact that the timescale for speckle imaging at a large well-figured telescope is expected to be rather different to the timescale for Shack-Hartmann sensing or for adaptive optics correction. This is an important point, and I will introduce a simplified model to help explain it in Chapter 2.3.2 and Appendix A. An essentially identical argument can be used to explain the differing isoplanatic angles provided by speckle imaging techniques and non-conjugate adaptive optics.

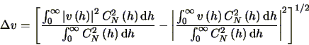
For large telescopes and significant dispersion in the bulk velocities for the turbulent screens, the coherence time $\tau _{e}$ of speckle patterns is shown by Aime et al. (1986); Roddier et al. (1982a) to depend on $\Delta v$, the standard deviation of the distribution of wind velocities $v \left
( h \right )$ weighted by the turbulence $C_{N}^{2}\left ( h \right )$ profile:

\begin{displaymath}
\Delta v = \left [ \frac{ \int_{0}^{\infty} \left \vert v \l...
... \left ( h \right ) \mbox{d}h} \right \vert^{2} \right ]^{1/2}
\end{displaymath} (2.10)

The precise relationship between $\Delta v$ and $\tau _{e}$ depends on the model for the temporal correlation. Roddier et al. (1982a) use a Gaussian model, predicting that $\tau _{e}$ will be given by:

\begin{displaymath}
\tau_{e}=0.36\frac{r_{0}}{\Delta v}
\end{displaymath} (2.11)

While Aime et al. (1986); Vernin et al. (1991) use a Lagrangian model to give:

\begin{displaymath}
\tau_{e}=0.47\frac{r_{0}}{\Delta v}
\end{displaymath} (2.12)

For smaller telescopes (but still with aperture diameter $d\gg r_{0}$) or for a case with little dispersion in the wind velocities, the wind crossing time of the aperture may be shorter than the timescales of Equations 2.11 and 2.12. In this case the timescale $\tau _{e}$ will be set by the wind crossing time, as discussed for large apertures in the next section. The timescale for the motion of the image centroid in a Shack-Hartmann sensor will usually be set by the wind-crossing time of the Shack-Hartmann subaperture. If the outputs of different Shack-Hartmann sensors in an array are cross-correlated the decorrelation timescale for the atmospheric phase perturbations relevant for speckle imaging can be calculated (see e.g. Saint-Jacques & Baldwin (2000)).

Bob Tubbs 2003-11-14