Model 2

For model 2 the probability distribution for the output electrons from one gain stage given one input electron is described by:
\begin{displaymath}
P_{1e} \left (n \right )= \left\{
\begin{array}{ll}
2-\mu ...
...$} \\
0 & \mbox{for other values of $n$}
\end{array}\right.
\end{displaymath} (4.6)

The expectation value of the gain $\mu$ is limited to the range $1\le\mu\le2$ by the assumptions in model 2.

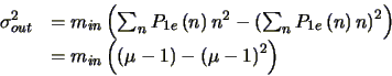
The variance in the number of output electrons given precisely $m_{in}$ input electrons with model 2 is given by:

\begin{displaymath}
\begin{array}{ll}
\par\sigma_{out}^{2} & = m_{in}\left (\su...
... 1 \right ) - \left (\mu - 1
\right )^{2}\right )
\end{array}\end{displaymath} (4.7)

If there is a variance $\sigma_{in}^{2}$ in the number of input electrons $m_{in}$, the total variance in the number of output electrons $\sigma_{out}^{2}$ is just:

\begin{displaymath}
\sigma_{out}^{2}=\left <m_{in} \right >\left (\left (\mu - 1...
... \left (\mu - 1
\right )^{2}\right ) + \mu^{2} \sigma_{in}^{2}
\end{displaymath} (4.8)

where $\left <m_{in}
\right >$ is the expectation value of $m_{in}$.

For gain $\mu$ close to unity this approaches the value from Equation 4.5 appropriate for model 1.

Bob Tubbs 2003-11-14