ISSA Explanatory Supplement
APPENDIX H

Zodiacal History File (ZOHF)
Version 3.0

Table of Contents | Index | Previous Chapter


  1. Introduction
  2. Production Description
  3. Format
  4. Processing
  5. Calibration
  6. Analysis Results
    1. Gain and Offset
    2. Position
    3. Calibration Verification
  7. Anomalies
  8. Zodiacal History File Version 3.1

H.1 Introduction

The IRAS Zodiacal History File (ZOHF) Version 3.0 was released by IPAC in 1988. It replaced Version 2.0, which was released in 1986. Version 3.0 incorporates a number of improvements that are outlined below. A subsequent release in 1990, Version 3.1, fixed a problem found in Version 3.0. A statement of the problem and its effect is given below. All references to Version 3.0 in this appendix other than in §H.8 are applicable to Version 3.1.

The major improvements were in the calibration. The baseline calibration was improved and corrections for hysteresis effects were incorporated. The entire IRAS survey was rerun with the improved calibration. Other changes to the ZOHF included a format change, additional calibration improvements, position improvements, a sampling change, and several processing changes. Results of the verification tests are presented. This is not intended to be an exhaustive description of the ZOHF Version 3.0 or its analysis. Only essential information is presented to enable a researcher to use the ZOHF Version 3.0 product.

The ZOHF Version 3.0 incorporated the final calibration of the IRAS data. There are, however, still calibration differences at the few-percent level between observations. In particular, there remains a systematic difference between ascending and descending scans. This systematic problem is discussed in the section on anomalies below.

H.2 Product Description

The ZOHF Version 3.0 was created in the same manner as the previous versions. IRAS data from all detectors, except the 1/4-sized detectors, were boxcar averaged over eight seconds of time. This resulted in an approximately square beam 0.5° wide. The exact pixel sizes are given in Table H.1. The beam sizes have not changed from those in Version 2.0. Due to elimination of the smallest detectors, they are not the full width of the IRAS focal plane.

Table H.1 Pixel Sizes for ZOHF
Wavelength
(µm)
Pixel Size (arcminutes)
In-ScanCross-Scan
12 30.8 28.4
25 30.8 30.3
60 30.8 28.5
100 30.8 30.5

H.3 Format

The record format of the ZOHF Version 3.0 has changed from the format of Version 2.0 to give UTCS in centiseconds instead of seconds. The new format is given in Table H.2.

Table H.2 Format of ZOHF Version 3.0
(Replaces old version in IRAS Explanatory Supplement 1988)
bytenamedescription unitstype
1 NSOP SOP Number - I3
4 NOBS OBS Number - I3
7 NUTCS1 Time UTCS centisec I10
17 INCL1 Inclination degrees F6.2
23 ELONG1 Solar Elongation degrees F6.2
29 BETA Ecliptic Latitude degrees F6.2
35 LAMBDA Ecliptic Longitude degrees F6.2
41 Inu11 12 µm Brightness Density Jy/sr E10.4
51 Inu2 25 µm Brightness Density Jy/sr E10.4
61 Inu3 60 µm Brightness Density Jy/sr E10.4
71 Inu4 100 µm Brightness Density Jy/sr E10.4
1Refer to page X-62 of the IRAS Explanatory Supplement 1988 for definitions.

H.4 Processing

Several improvements in data processing were made for ZOHF Version 3.0 and an error in Version 2.0 was corrected. The set of observations contained in Version 3.0 is slightly different from that of Version 2.0. A small set of survey scans erroneously excluded from Version 2.0 was included for the first time in Version 3.0. Observations that could not be properly calibrated using the new stimulator extraction method were excluded from Version 3.0. In total, Version 3.0 contains 0.07% fewer observations than Version 2.0.

Radiation spikes and other electronic glitches were removed by a deglitch processor prior to resampling the data (§III.A.3).

The data used in the ZOHF Version 2.0 were destriped with an algorithm which adjusted the gain and offset of each individual detector in a band to match those of the average of all detectors in that band. This destriper was not used for Version 3.0. This should have little effect since the destriper left the average value of the ZOHF unchanged and did not affect the striping caused by calibration variations between scans.

An error was found in Version 2.0 and corrected in Version 3.0 that advanced the position in-scan by 115" for half of the mission data. Improvements in the satellite pointing reconstruction made to support the IRAS Faint Source Survey 1992 were incorporated in the ZOHF Version 3.0. The impact of these improvements is generally not large relative to the resolution of the ZOHF (§III.A.3).

The sampling interval in the ZOHF Version 3.0 is eight seconds and there is no overlap between adjacent in-scan pixels. Because the ZOHF Version 2.0 was made with overlapping adjacent in-scan pixels, the file size of Version 3.0 is reduced by a factor of two as compared to Version 2.0.

H.5 Calibration

Several important changes were made in the IRAS calibration software. These are detailed in §III.A.2 of this Supplement.

H.6 Analysis Results

Several general analyses were done at IPAC to verify the ZOHF Version 3.0 data and characterize it with respect to Version 2.0.

H.6.a Gain and Offset

To compare intensities, each Version 3.0 observation was linearly fit to its counterpart in Version 2.0. The average gain and offsets of these fits as well as the maxima and minima for the mission are given in Table H.3. The mission mean gain and offset is approximately the value expected from the calibration changes that were implemented for Version 3.0. The mission extremes of gain and offset are caused by attempting to fit a linear transformation to the detector nonlinearities encountered when especially bright sources are covered during a scan.

Table H.3 Gain and Offset of each Version 3.0 Observation Compared to each Version 2.0 Observation
CoefficientWavelength
Band (µm)
Mission
Mean
Error of
Mean (1 sigma)
Mission
Maximum
Mission
Minimum
GAIN 12 0.896 0.013 1.083 0.685
  25 0.919 0.022 1.420 0.713
  60 1.075 0.042 1.344 0.706
  100 1.031 0.082 1.999 0.505
OFFSET 12 -0.028 0.072 .441 -0.680
(106 Wm-2sr-1) 25 -0.158 0.065 0.452 -1.092
  60 -0.008 0.021 0.120 -0.142
  100 0.014 0.018 0.227 -0.118

H.6.b Position

The cumulative effect of the position correction and the improved interpolation scheme can be shown by differencing the position given in the ZOHF to a position predicted in the Observation Parameter File for each ZOHF record in Versions 2.0 and 3.0. The Observation Parameter File is an internal IPAC file that summarizes the pointing information for each scan to an accuracy of about 20". Histograms of these differences are given in Table H.4. Note that Version 3.0 compares much better to the Observation Parameter File than does Version 2.0. It should also be noted that both versions of the ZOHF were compared to the Version 2.0 Observation Parameter File (a Version 3.0 Observation Parameter File, which would reflect the improved pointing, does not exist). It is likely that the ZOHF Version 3.0 positions are actually slightly better than the histogram shows.

Table H.4 Histograms of Comparison of ZOHF Positions with the Observation Parameter File
Difference (")Version 2 (%) Version 3.0 (%)
0-10 39.0 37.7
10-20 15.7 23.6
20-30 9.1 17.4
30-40 5.9 12.0
40-50 4.2 7.0
50-60 3.3 2.1
60-70 2.7 .1
70-80 2.5 **
80-90 2.2 0.
90-100 1.9 0.
100-200 11.9 0.
200-300 1.5 0.
300-400 ** 0.
400-500 ** 0.
500-600 0. 0.
600-700 ** 0.
700-800 ** 0.
800-900 0. 0.
900-1000 ** 0.
1000-2000 ** 0.
>2000 ** 0.
** represents a percentage < .05

H.6.c Calibration Verification

M.G. Hauser, L.J. Rickard and J. Vrtilek at Goddard Space Flight Center have performed extensive analyses of the ZOHF checking noise level and calibration consistency. Their results are summarized here.

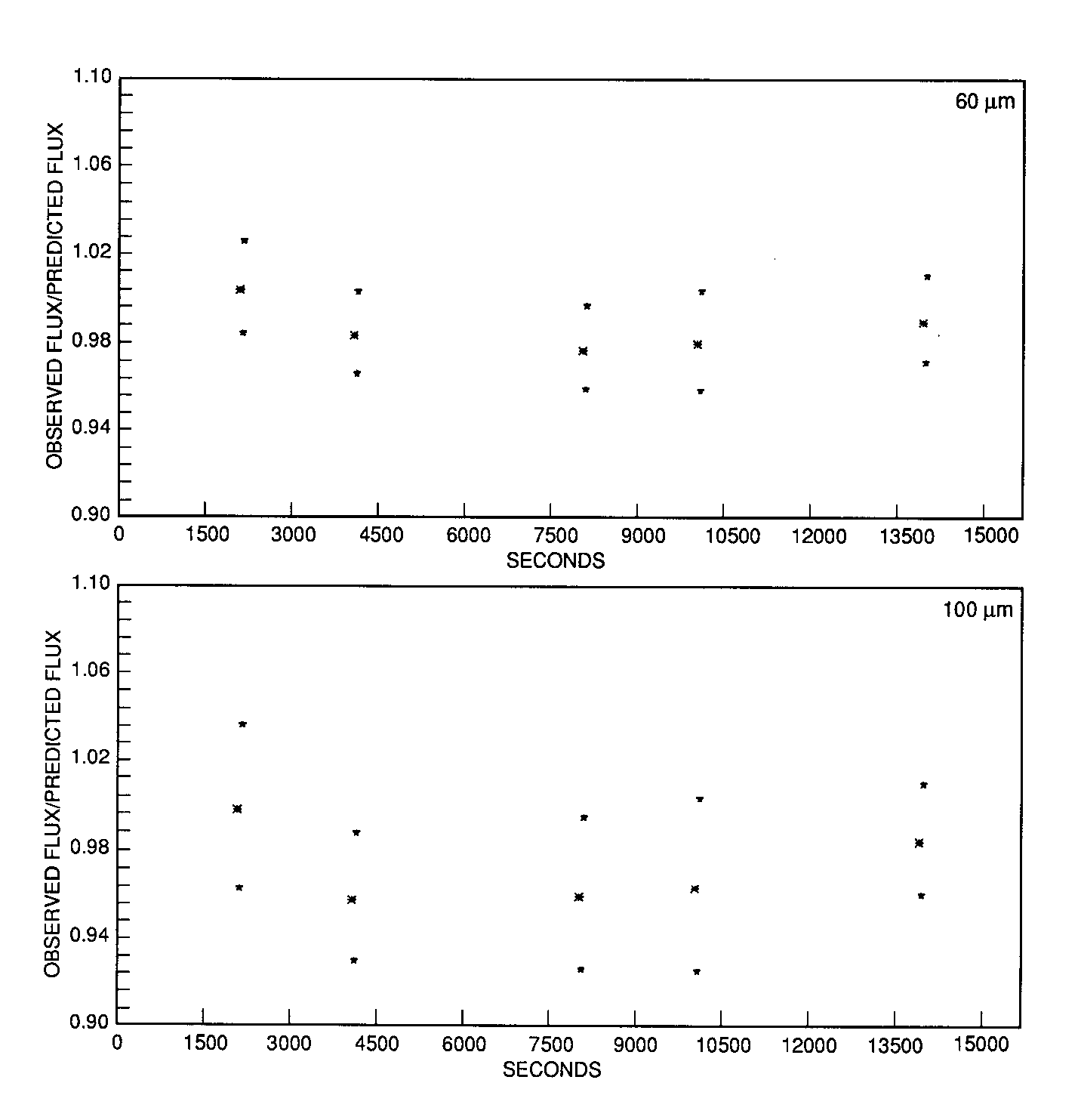
Figure H.1 Flux ratio at North Ecliptic Pole vs. time (seconds) from SAA crossing at 12, 25, 60, and 100 µm. (See text, Anomalies.)
larger largest

If the IRAS calibration system were working perfectly, the brightness of the TFPR measured during survey observations should agree with the TFPR model used during the daily baseline calibration observations. The discrepancy between these two values of TFPR brightness gives some measure of the stability and uncertainty of the baseline. The difference between the survey observations of the TFPR and the model is shown in Figure H.1. The scatter is seen to be approximately 3% at 12 and 25 µm, 4% at 60, and 8% at 100 µm.

Figure H.1 (cont'd)
larger largest

We should be able to re-derive from the ZOHF the same variable part of the TFPR model that we used in the calibration. Hauser et al.'s check of the variable part of the TFPR model due to the inclination of the symmetry plane of the zodiacal dust reproduced that part of the TFPR model to within the model's internal consistency discussed above. This check is done by differencing the ends of survey scans that cross both ecliptic poles. It should be quite accurate and free from the effects of baseline drift. Derivation of the variability due to eccentricity from the survey data alone is unreliable because residual baseline drifts are not eliminated and are large enough to affect the calculated eccentricity term seriously. Hauser et al. also found systematic differences between ascending and descending survey scans, see §H.7 below.

H.7 Anomalies

Several users of the ZOHF Version 2.0 have found that the descending scans (scans which progress with decreasing ecliptic latitude) are systematically brighter at the ecliptic plane than are the ascending scans (scans which progress with increasing ecliptic latitude.) Note that, in the IRAS orbit, descending scans always look behind the Earth in its orbit while ascending scans always look ahead. We have investigated this effect and found that a discrepancy on the order of 2% (2% at 12 and 60 µm, 1.5% at 25 µm, and 4% at 100 µm) is seen at the north ecliptic pole between the ascending and descending scans. At the pole the two sets of scans are looking at the same part of the sky and the difference should be zero. The error seen at the pole is within the uncertainties of the DC gain calibration.

This difference could be caused by a residual hysteresis effect in the DC response of the detector after crossing the South Atlantic Anomaly (SAA). The model implemented in calibration for handling hysteresis after the SAA was derived only for the AC response. The DC response was assumed to vary linearly with the AC response and was obtained by applying a scale factor to the AC response. This assumption may not be correct at the few-percent level.

Figure H.2 Mean flux ratios at North Ecliptic Pole and population standard deviations vs. time (seconds) from SAA crossing at 12, 25, 60, and 100 µm. (See text, Anomalies).
larger largest

Due to the survey scan strategy, descending scans dominate the first group of survey scans following an SAA crossing. These scans have elevated fluxes relative to the next group of scans, which are further from SAA and are predominantly ascending. In Figure H.1, the abscissa is the ratio of the measured flux at the North Ecliptic Pole (NEP) and the flux calculated from the calibration model and assigned to the NEP. This is plotted against the time from the SAA crossing for the 12, 25, 60, and 100 µm bands. If the calibration were perfect, all measurements would be unity. The observations fall into groups along the time axis. Figure H.2 shows the mean flux ratio and population standard deviation for each grouping of scans at 12, 25, 60, and 100 µm.

Figure H.2 (cont'd)
larger largest

In short, we believe that a large part of the ascending-descending asymmetry can be attributed to uncorrected calibration drifts. At this time, we cannot however eliminate the possibility that some of the asymmetry is a real feature of the sky.

H.8 Zodiacal History File Version 3.1

In calculating the averages for the ZOHF Version 3.0, some intensities were erroneously included. This problem affected a small number of ZOHF samples and was fixed in Version 3.1. No samples were affected at 12 or 25 µm, one sample at 60 µm and 382 (0.03%) samples at 100 µm. Most of the samples affected were in short low gain observations. The samples affected at 100 µm were lowered 23%, on average, with a maximum decrease of 45%.

References

IRAS Catalogs and Atlases: Explanatory Supplement 1988, ed. C. A. Beichman, G. Neugebauer, H. J. Habing, P. E. Clegg, and T. J. Chester (Washington, D.C.:GPO).

Moshir, M. et al., 1992, Explanatory Supplement to the IRAS Faint Source Survey Version 2, JPL D-10015 8/92 (Pasadena:JPL).


Table of Contents | Index | Previous Chapter