A general myth created by the Chaotic Inflation, that ``
T/S is negligible for the Harrison--Zel'dovich spectrum'', proved to be an
artifact of the model, namely, the
-potential-choice there (the
power-law inflation has demonstrated the consistency with the myth displaying
that large
can be obtained only while rejecting from the
HZ-slope of density perturbations,
). The reason is that the
CI-models generate cosmological-scale-perturbations only for
(as the process of inflation is to be intrinsicly stopped at
)
so, the
remains always there. At the same time,
smooth
-potentials produce ``red'' HZ spectra of scalar
perturbations, which is also a general property of CI. Although both
properties, small T/S and
, originate from a single condition
-- the
inflation, -- the latter is not a general case for
inflationary process at all. More of that, the relationship between T/S
and
is not confirmed (in particular, it is violated when the slow-roll
approximation is broken). Instead, the connection of T/S to
seems a
fundamental one (see below).
Obviously, it is clear that T/S becomes large if the cosmological
perturbations are generated at
. In this case the inflation
must continue to smaller
. This possibility is realised for a
rather general class of the fundamental inflations with one scalar field and
the effective
-term (Lukash & Mikheeva (1996)):
The vacuum density
(
) should be metastable
(otherwise inflation will proceed infinitely) and decay at some
. The mechanism of the
decay may be arbitrary and is
not fixed in this simple model (as an example of
-decay see hybrid
inflation, Linde (1994)).
Regarding that the inflation proceeds up to small
, eq(2) can be
relevantly understood as the decomposition of
near the
local-minimum-point
.
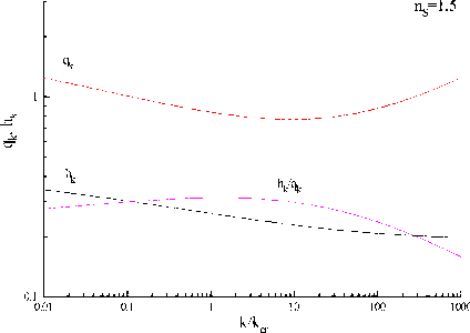
Figure 1: The spectra of scalar (
) and tensor (
)
metric perturbations in the model (2) with
in arbitrary
normalisation. In the ``blue'' asymptotic
.
Another important parameter of the model (besides
) is
where
. For

the process of the inflation is dominated by the
-term. Such a stage,
being impossible in the chaotic inflation, brings about the generation of
``blue'' spectra of S-perturbations. Taking into account that for
the spectrum is ``red'', we come to very generic
properties of the S and T spectra in the models with
-term.
, corresponding to
.
for COBE).
;
works well at any scale, where
should be understood as the effective (local) spectral index of the
T-mode where T/S is measured.
Figure 2: T/S ratio for the model (2) with
.
Figure 1 presents S and T perturbation spectra (dashed and
solid lines, respectively) and a ratio between them (dotted line). The
gauge-invariant metric perturbations generated in the inflation, are determined
in the synchronous reference system comoving to the
-field in large
scales (
):

where
and
are
random Gaussian functions of spatial coordinates,
,

For HZ-spectra
and
would be
-independent (
and
, respectively). The normalisation of both spectra is arbitrary and
can be calculated exactly after defining
.
For the case
,
, T/S was calculated by the authors
for the following model parameters:
,
(Figure 2). Figure 3 shows the same
two-parametric function T/S as a set of the slices of constant T/S
values. We see that the probability to find
in the model
plane is roughly 50%.
As the ``blue'' S-spectra appearing naturally in the
-dominated
inflation models have important implications for LSS formation theories,
below we write down explicitly (
).
For
:

For
:

For
the dimensionless power spectrum of density perturbations is
as follows:
