Please Note: the e-mail address(es) and any external links in this paper were correct when it was written in 1995, but may no longer be valid.


Go to: Front page, Participants, Group Photograph, Preface, Contributions, Acknowledgements

MERLIN Observations of the Radio Jets of SS433

Frederick H. Jowett and Ralph E. Spencer
e-mail: fhj@jb.man.ac.uk

Nuffield Radio Astronomy Laboratories, University of Manchester, Jodrell Bank, Lower Withington, SK11 9DL, UNITED KINGDOM

Abstract:

The unusual binary star SS433 was observed on 5 epochs in December, 1991 and January, 1992 using the United Kingdom's Multi-Element Radio Linked Interferometer Network (MERLIN) operating at a frequency of 5 GHz. The maps produced from this data show the characteristic ``S-shaped'' morphology of SS433's precessing jets. These jets were demonstrated to behave, in general, as dictated by the ``Kinematic Model''. Several knots of radio emission in the jets were identified and their motion could be followed between the images. By studying their evolution, these knots were shown to be ballistic, not slowing down noticeably before fading from view and by comparing their apparent velocity with the predictions of the Kinematic Model the distance to SS433 was measured at . The brightness evolution of the knots was found to be consistent with exponential decay of time constant 16 days. Two anomalous knots were identified and believed to be caused by drastic variation of the jet ejection velocity.

Contents

1. Introduction

The canonical model of SS433 describes a binary system comprising a neutron star and OB or Wolf-Rayet companion. Matter from the companion is transferred onto the compact star via an accretion disc and a collimated jet of material is ejected along the axis of the disc at an angle of to the line-of-sight. By some unknown mechanism, the accretion disc, and hence the ejection vector of the jet, precesses around a cone of half-angle every 162.5 days. This precession results in optical emission lines which ``move'' in frequency periodically, due to varying doppler shift determined by the projected ejection velocity of the jet material. This behaviour is described well by the ``Kinematic Model'' which assumes a constant magnitude of the ejection velocity of (Abell & Margon (1979),Margon & Anderson (1989)).

On radio maps, imaging the regions from the central engine of scales down to , the precessing jet manifests itself in a characteristic ``S-shaped'' morphology of synchrotron-radiating material. Previous observations, particularly with MERLIN and VLBI (e.g. Spencer (1984),Vermeulen et al. (1993)), have shown knots of radio emission which move ballistically outwards from the core, without showing any appreciable deceleration over distances out to 5000 AU. By comparing the apparent velocity of the knots with the Kinematic Model, previous workers have derived distances to SS433 between about 4.5 and 5.0 kpc.

VLBI observations of the inner 500 AU of the jets have discovered that knots are often, but not always, ejected symmetrically from the core, emerging from permanent features termed ``core wings'' (Vermeulen et al. (1993)). These knots then brighten by a factor of two as they move away from the core, as they enter a region known as the ``Brightening Zone'' which has an extent of about 250 AU. After this, the knots begin to fade. This fading, presumably due to some form of expansion since all reasonable estimations place the synchrotron emitting lifetime of the material to about 1000 years, has been observed to continue on MERLIN-scale images. Observations by Spencer (1984) have been unable to differentiate between power-law (indicating adiabatic or sub-adiabatic expansion) or exponential decay.

This paper presents preliminary results of recent 5 GHz observations of SS433 using MERLIN, including a measurement of its distance and an attempt to determine the behaviour of the knot brightness decay.

2. Observations and Image Processing

Phase-referencing observations of SS433 at 5 GHz were performed with the MERLIN synthesis array on five occasions in December, 1991 and January 1992, as detailed in Table 1. The naturally-weighted data were imaged using a combination of proprietorial MERLIN software, the NRAO AIPS package and the Caltech Difmap program. The r.m.s. noises obtained in the images were between 100 and , comparable with that expected for twelve-hour observations, except for epoch (b) when a cryogenics failure at the Cambridge telescope increased the map noise by a factor over the other maps.

The observation on epoch (d) was affected by the loss of the telescopes comprising the shortest baselines in the MERLIN array. This has resulted in the map being insensitive to extended emission in the jets. This observation was repeated a day later (epoch (e)).

  
Table 1: Dates of the five observations and map quality information.

2.1. Image Description and Knot Identification

  
Figure 1: Contour images of the maps obtained for the naturally weighted data on 7th, 12th, 22nd December, and 3rd, 4th January (a to e). The contours are -0.5, 0.5, 1, 2, 4, 8, 16, 32, 64, 128 mJy/beam for each image, the first contour being about , , , and for maps a to e. Each image has been restored with a 70 mas beam. The expected Kinematic model for SS433's measured distance of 4.7 kpc is shown. The labelled knots are discussed in the text.

Each of the images shown in Figure 1 exhibit the general shape of the characteristic curve that would be expected given the Kinematic Model. The Eastern jet is the predominantly approaching one and so it is visibly longer than the Western jet which is foreshortened by light travel-time effects. K A false colour version of this sequence of maps will be shown if you click \ of bright emission are visible in the jets, and some of these can be identified from one image to the next. Although 18 knots could be traced for more than one epoch, only five (termed A, C, M, N, Z) were present for all images whilst displaying well-behaved brightnesses. Some knots, although present on several maps, behaved in an erratic manner, and it is possible that these were artifacts caused by under-resolution of knots smaller than the beam.

3. Knot Evolution

3.1. Knot Velocity and Distance Measurement

The apparent transverse velocity of each knot was measured by fitting a straight line to its radial-position vs time behaviour. As can be seen from Figure 2 the knots were well-fitted by such lines, indicating that their motion was ballistic with no appreciable deceleration during the observations. Given that the velocity of each knot was constant, the dates that the knots were ejected were extrapolated from the fits (see Table 2).

  
Figure 2: Graph showing the radial position of the knots during each observation and the best-fit straight lines.

  
Table 2: Ejection times and angular velocities of the radio knots. The results of the brightness evolution fits are also displayed. The power law decay index and exponential decay constants marked for knots M and N are those obtained by ignoring the 7th December observation. Note that the exponential decay constants shown here have had the effects of light travel-times taken into account.

The distance to SS433 was measured by comparing the observed velocity of the knots (after taking light travel-time effects into account) with their predicted velocities transverse to the line-of-sight, assuming that the optically determined velocity of also applies to the radio-emitting material. This calculation leads to a distance to SS433 of , which is consistent with previous measurements made using this method, but covering different scales and/or frequencies.

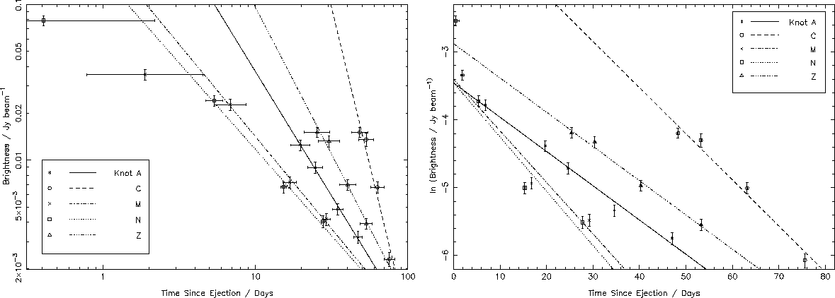
3.2. Brightness Evolution

As the knots in the jets of SS433 age and move away from the core, their peak brightness decreases, but previous studies have been unable to differentiate between power law and exponential decay of brightness with time since ejection (Spencer (1984)). In an attempt to resolve this uncertainty, straight lines were fitted to log(brightness) vs log(age) plots (for power law) and to ln(brightness) vs age plots (for exponential decay). Unfortunately, direct comparisons of the parameters of the fits (see Table 2) show that knot A was better fitted by a power law, and knots C and Z by exponential decay, although the s are not drastically different in these cases.

Knots M and N were not fit well by either method. This was caused by a low value for the measured brightness for each knot during the first epoch of observation on 7th December. Both of these knots were within 20 milliarcseconds from the core, at 4.7 kpc distance - well within the Brightening Zone. It seems likely, therefore, that these knots increase in brightness as they move into the Brightening Zone between 7th and 12th December. By ignoring the first observation, a much improved fit was obtained in both cases although the fit for power-law decay was better.

  
Figure 3: (a) Log(Brightness) plotted against Log(Age) for each knot, and best-fit straight lines. The lines shown for knots M and N are those derived by ignoring the earliest data points. Note that the measured brightnesses for the observations on 3rd and 4th January have been averaged and plotted as a single point. (b) Ln(Brightness) plotted against Age for each knot, and best-fit straight lines. The lines shown for knots M and N are those derived by ignoring the earliest data points.

The time constants obtained from the fits to exponential decay ranged from days to 21, whereas the power law decay index showed a higher range of variation from to . Moreover, the power law decay index had a larger magnitude for those knots seen at a later stage of their evolution. It is possible that this represents an intrinsic difference between the knots' physical conditions, but this behaviour is broadly consistent with an attempt to model the decay as power law, when it is intrinsically exponential. Figure 4 shows a plot of the best-fit power law decay index () against the mean age of each knot during the observations. The straight line represents the evolution of that would be expected for a knot whose brightness decays exponentially with a time constant of 16 days. Although this line is not a particularly good fit to the data, differences could be explained by postulating variations in the physical parameters of each knot.

  
Figure 4: The power law decay index obtained from the slopes of the lines in Figure 3, against the mean observed age of each knot. The line represents the behaviour that would be expected from a knot which decayed exponentially with a time constant of 16 days.

3.3. Anomalous Knots

The 7th and 12th December maps (Figures 1a and 1b) show two knots (AA and BB) which lie at a position off to the side of the main jet. Since these knots are not exactly symmetrical about the core, and are also present for more than one image, they are not caused by spurious symmetrization during the self-calibration cycles and are likely to be real. Knot AA is also present on Figures 1c and 1e (but may have been too weak to be detected on the 3rd January image), and has an apparent velocity on the sky, with no apparent deceleration, of milliarcseconds per day, which is about half the minimum that can be obtained from the Kinematic Model. The projected ejection date for knot AA is MJD 8516, which, given a somewhat large error of 20 days, is consistent with its observed position angle of . Upon the assumption that the knot was ejected in the direction predicted by the Model, this gives its ejection velocity at (for 4.7 kpc distance). Variations of the ejection velocity of the jet material of the order of a few thousand have previously been posed as explanations for residuals in the fit of the Kinematic Model to the optical line doppler shifts (termed ``jitter''(Margon & Anderson (1989)), but the deviation measured for knot AA is several times larger than this. Interestingly, Iijima (1993) found large Doppler Shift residuals on MJD , but no measurements were made for a period of 20 days before this, during which knot AA was ejected.

4. Conclusions

This paper has presented initial results from studying the naturally-weighted images obtained from the observations. The images have shown that the central engine of SS433 ejects ``blobs'' of matter, usually in antiparallel pairs, at velocities of , and that this behaviour is well described by the Kinematic Model. The blobs, which are seen as knots in the images, move away ballistically from the core with no deceleration even out to 3300 AU. The blobs decay in brightness exponentially, which may indicate that they are expanding exponentially. Finally, the distance to SS433 was measured at .

It is hoped that analysis of the uniformly-weighted images (in preparation) which are showing unprecedented detail, will eliminate some of the uncertainties and help to tie down the brightness evolution behaviour of the knots.

Acknowledgments

MERLIN is a national facility operated by the University of Manchester on behalf of PPARC

References



YERAC 94 Account
Wed Feb 22 18:51:28 GMT 1995