We now apply the MEM and WF analyses outlined above to the simulated
Planck Surveyor data discussed in Section 2. Clearly, both
techniques rely to some extent on our prior knowledge of the input
components we are trying to reconstruct. Information concerning
the spectral behaviour of each component is contained in the frequency
response matrix
defined in the companion paper, whereas the
assumed covariance structure of the components is
contained in the signal covariance matrix
given in
the companion paper. Since we are in fact performing the reconstruction in the
Fourier domain, the latter matrix contains the power spectrum of
each component as its diagonal entries and the cross power spectra
between components as its off-diagonal entries. Strictly speaking,
since we reconstruct the vector of hidden variables
,
rather than the signal vector
, this power spectrum
information actually resides in the ICF matrix
.
For the reconstructions presented in this section, we assume that the spectral behaviour of the components is accurately known. This is certainly true for the CMBR emission and the kinetic and thermal SZ effects, but it is perhaps optimistic to assume that this would be the case for the three Galactic components. In reality the spectral indices of the free--free and synchrotron emission are uncertain to within about 20 per cent and the dust temperature and emissivity will also not be known in advance. We have investigated the effect of varying these parameters in the reconstruction algorithms and have found both the MEM and WF separations to be quite robust. This is discussed further in Section 4.
Our prior knowledge of the covariance structure or power spectra of
the various emission components is certainly poorer than our knowledge
of their spectral behaviour. Nevertheless, we are not entirely
ignorant of the shapes of these power spectra and we would
obviously wish to include any such information in our analysis. In
order to investigate how the quality of the reconstructions depends on
our knowledge of the power spectra, we have chosen to model two
extreme cases. First, we assume knowledge of the azimuthally-averaged
power spectra of all six input components, as shown in
Fig. 2, together with the azimuthally-averaged cross power
spectra between components; these contain
cross-correlation information in Fourier space, so that
the ICF matrix
is fully specified. In the
second case, however, we take the opposite view and assume that almost
no power spectrum information is available. This corresponds to
assuming a flat (white-noise) power spectrum for each component out to
the highest measured Fourier mode. The levels of the flat power
spectra are chosen so that the total power in each component is
approximately that observed in the input maps in Fig. 1.
We first consider the case in which power spectrum and
cross-correlation information are assumed, so that the ICF matrix
is fully specified.
The corresponding MEM and WF reconstructions of the six input components shown are shown in Figs 5 and 6 respectively. The greyscales in these figures are chosen to coincide with those in Fig. 1 in order to enable a more straightforward comparison with the input maps.
Figure 5: MEM reconstruction of the
-degree
maps of the six input components shown in Fig. 1, using full ICF
information (see text). The components are: (a) primary CMBR fluctuations; (b)
kinetic SZ effect; (c) thermal SZ effect; (d) Galactic dust; (e) Galactic
free--free; (d) Galactic synchrotron emission. Each component is plotted at
300 GHz and has been convolved with a Gaussian beam of FWHM equal to 4.5
arcmin. The map units are equivalent thermodynamic temperature in
.
Figure 6: Wiener filter reconstruction of the
-degree maps of the six input components shown in Fig. 5, using
full ICF information (see text).
We see that the main input components are faithfully reconstructed. Perhaps most importantly, the CMBR has been reproduced extremely accurately, and at least by eye both the MEM and WF reconstructions are virtually indistinguishable from the true input map. As we might expect the dust emission is also accurately recovered, since it dominates the high frequency channels. The free--free emission, which is highly correlated with the dust, has also been reconstructed well, with both the MEM and WF reconstructions containing most of the main features present in the true input map. The recovery of the synchrotron emission is also reasonable, although the MEM algorithm is more successful in recovering the brightest regions.
The MEM and WF reconstructions of the kinetic and thermal SZ effects are worth some comment. Both techniques have produced reasonable reconstructions of the thermal SZ effect for those clusters in which the effect is very strong. However, it is clear that the MEM has successfully reconstructed the SZ effect in a greater number of clusters. Moreover, the magnitudes of the SZ effects in the MEM reconstruction are closer to the true values than those obtained with the WF. Thus, as anticipated, the assumption of Gaussian random fields that is central to the WF approach leads to poorer reconstructions of highly non-Gaussian fields as compared with MEM. A more detailed discussion of the recovery of thermal SZ profiles is given in Section 3.1.3. For the kinetic SZ effect, however, neither method has reconstructed any features in the input map with their true magnitudes. In fact, both methods have reconstructed fields with very low-level fluctuations that coincide with the brightest features in the thermal SZ map. The inability of either method to make very accurate reconstructions of the kinetic SZ effect is not surprising since, as mentioned in Section 2, this emission due to this component is at least two orders of magnitude below the dominant emission component or the noise at all of the Planck Surveyor observing frequencies. Moreover, this component has the same frequency dependence as the primordial CMBR fluctuations, and so we distinguish them by their different power spectra behaviour. Nevertheless, we find marginal detections of the kinetic SZ effect in some clusters, and this is also discussed in Section 3.1.3.
While a visual inspection of the reconstructed maps is a useful method of assessing how well the algorithms are performing, a more quantitative analysis of the reconstruction errors is required if we are to make any meaningful comparison between the MEM and WF approaches. The most straightforward means of comparison is to calculate the rms of the residuals for each set of reconstructions. For any particular physical component, this is given by

where
and
are respectively
the reconstructed and true temperatures in the
pixel;
is the
total number of pixels in the map. The values of
for each
physical component in the MEM and WF reconstructions are shown in
Table 2.
Table 2: The rms of the residuals in the MEM and WF reconstructions
shown in Figs 5 and 6, which assume full ICF
information.
We see from the table that, in terms of the rms of the reconstruction
errors, the two methods are nearly equivalent. In particular, we note
that the CMBR has been reconstructed to an accuracy of about
,
which is the desired value quoted for the Planck Surveyor mission
(Bersanelli et al. (1996)). We note, however, that the rms error for MEM
reconstruction is slightly smaller than for the WF. The rms errors
for the other components are also similar for the MEM and WF
reconstructions, but are always lower for the MEM algorithm.
This is particularly true for the reconstructions of the thermal
SZ effect, dust and free--free emission and is
due in part to the non-Gaussian nature of these components.
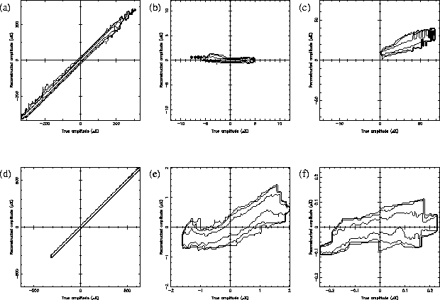
Simply quoting the rms of the residuals is, however, a rather crude method of quantifying the accuracy of the reconstructions. A more useful approach is to characterise the reconstruction errors on a given component by plotting the amplitudes of the temperature fluctuations for each pixel of the reconstructed map against those in the true map. Usually such plots consist of a collection of points, one for each pixel in the true/reconstructed map. We shall, however, adopt a slightly different approach For each component, the temperature range of the true map is divided into 100 bins. Three contours are then plotted which correspond to the 68, 95 and 99 per cent points of the distribution of corresponding reconstructed temperatures in each bin. If the reconstruction is particularly good, then only the 95 and 99 per cent contours are plotted. Clearly, a perfect reconstruction would be represented by a single diagonal line. Figs 7 and 8 show the comparison plots for the WF and MEM reconstructions respectively and Table 3 gives the gradient of the best-fit straight line through the origin for each component.
Figure 7: Comparison of the input maps with the
maps reconstructed using the MEM algorithm with full ICF information. The
horizontal axes show the input map amplitude within a pixel and the vertical
axes show the reconstructed amplitude. The contours contain 50 and 99 per cent
of the pixels respectively.
Figure 8: As for Fig. 7 but for the Wiener filter
reconstruction with full ICF information.
Panel (a) in each figure shows the confidence limits for the reconstruction of
the CMBR, and it is clear that both reconstructions are very accurate. In each
case, for those points in the true CMBR map with temperatures lying in the
range
to
, the 68 per cent limits of the
reconstructed temperatures lie approximately
on either side of
the true value. This agrees with the values for
for each
reconstruction, given in Table 2. For points in the true map having
very large positive or negative values, both the MEM and WF reconstructions
become slightly less accurate, but the errors are still in the range
. Comparing the performance of the MEM and WF approaches, there is
some evidence in that the MEM reconstruction is slightly more accurate for
points having large positive temperatures, and it is these points that make the
largest contribution to difference in the values of
given in
Table. 2.
Panels (b) and (c) in Figs 7 and 8 show the confidence limits
for the reconstruction of the kinetic and thermal SZ respectively. As we would
anticipate from the maps of the kinetic SZ reconstructions in
Figs 5(b) and 6(b), for both the MEM and WF techniques, the
distribution of the reconstructed temperatures centres around zero for all
values of the temperature in the input map. For the thermal SZ, however, we
see that the reconstructions are considerable better. Nevertheless, for both
reconstructions, the best-fit straight line through the origin has a slope that
is significantly smaller than unity, indicating that magnitudes of the thermal
SZ effects are generally underestimated. It is clear from the plots that this
effect is more pronounced in the WF reconstruction, since the corresponding
best-fit line has a markedly lower slope than for the MEM reconstruction.
About the corresponding best-fit line the range in the values of the
reconstructed temperatures in slightly smaller for the WF reconstruction than
for MEM. However, the standard deviation of the reconstructed temperatures
about the true temperature is lower for MEM, as indicated by the
relatives values of
for this component given in
Table 2. The tendency for both methods to underestimate the
magnitude of the thermal SZ effects is due to the fact that the emission in
this component is dominated by dust emission and pixel noise at the observing
frequencies with the highest angular resolutions. Thus information concerning
the higher Fourier modes of the thermal SZ map is not present in the data and
so very sharp features are unavoidably smoothed in the reconstructions.
The confidence limits for the reconstructions of the Galactic components are
shown in panels (d), (e) and (f) of Figs 7 and 8; these
correspond to dust, free--free and synchrotron emission respectively. The
confidence contours for the MEM and WF reconstructions of the dust component
are indistinguishable and clearly show that the dust is the most accurately
reconstructed component. The 99 per cent limits of the reconstructed
temperature distributions are approximately constant for all values of the true
input temperature and correspond to
error in the reconstruction of
about
. From panels (e) and (f) it is clear that the
reconstructions of the free--free and synchrotron emission are considerable
less accurate. By comparing these plots for the MEM and WF reconstructions, we
again notice that the best-fit straight line through the origin has a slope
that is closer to unity for MEM than for the WF and the standard deviation of
the reconstructed temperatures about these lines is also smaller for MEM, as
indicated by the smaller corresponding values of
in each case.
The relative large spread of reconstructed temperatures for the free--free and
synchrotron components is due partially to the fact that the reconstructions
have low effective resolution, since the Planck Surveyor has relatively large
beamsizes at the lower observing frequencies where the free--free and
synchrotron emission is highest. If the input maps are instead convolved to a
lower resolution, such as 20 arcmin, which is more typical of the beamsizes at
the lower observing frequencies, then the spread in the reconstruction values
is considerably reduced.
Table 3: The gradients of the best-fit straight line through the
origin for the comparison plots shown in Figs 7 and 8 for
the MEM and WF reconstructions, which assume full ICF
information.
Figure 9: The power spectra of the input maps after
convolution with the maximum resolution of the experiment (bold line) compared
to to the power spectra of the maps reconstructed using MEM with full ICF
information (faint line). The dotted lines show one sigma confidence limits on
the reconstructed power spectra.
Figure 10: As for Fig. 9, but for the WF reconstruction with full
ICF information.
Since both the MEM and WF reconstructions are performed in the Fourier domain,
it is particularly straightforward to compute the reconstructed power spectra
of the physical components. Both techniques reconstruct the signal vector
at all measured Fourier modes. These Fourier modes lie
on a square
grid with a grid spacing
wavenumbers. At a given value of
, the estimator
of the
azimuthally averaged power spectrum for the
physical component is
obtained simply by calculating the average value of
over those modes for which
, i.e.
where
is the number of measured Fourier modes satisfying
. We note that for
it is a reasonable approximation to
identify the flat two-dimensional wavenumber
with the spherical harmonic
multipole index
. The errors on the reconstructed power spectrum are also
easily estimated from the errors on the reconstructed signal vectors at each
Fourier mode. It is straightforward to show that

For a WF reconstruction, it is well known that
is a biased
estimator of the underlying power spectrum (see Bouchet et al. (1997)).
Nevertheless, this is not necessarily the case for the MEM reconstruction and,
for comparison purposes, it is instructive to use the same power spectrum
estimator for both the MEM and WF reconstructions. Moreover, in this section we
are interested simply in the power spectra of the reconstructed maps, rather
than in developing optimal methods to recover the input power spectrum from a
given reconstruction. In Section 4, we discuss in more detail the
biased nature of this simple power spectrum estimate, and consider several
variants of the standard Wiener filter that may be used to circumvent this
problem. At this point, however, it is sufficient to note that where the
underlying power spectrum of the
process is poorly determined by
the observations, the the estimator
can be shown to
underestimate the true power spectrum.
Figs 9 and 10 show the reconstructed power spectra for the MEM and WF respectively, together with the 68 per cent error bars. In each panel the faint line is the power spectrum of the reconstructed map and the bold line is the power spectrum of the relevant input map as shown in Fig. 2. We see that the 68 per cent confidence intervals always contain the true power spectrum, which indicates that our estimate of the errors on the reconstructed power spectrum are quite robust.
The power spectrum of the reconstructed CMBR maps are shown in panel (a) of
each figure, and we see that both techniques have faithfully reproduced the
true power spectrum for
, at which point the WF reconstructed
begins visibly to underestimate the true spectrum. The MEM reconstruction,
however, remains indistinguishable from the true power spectrum up to
, where it too begins to underestimate the true spectrum.
The power spectra of MEM and WF reconstructions of the kinetic SZ map are shown
in panel (b) of each figure and are predictably poor, with both reconstructed
power spectra underestimating the true one over almost the entire range of
measured multipoles. For the thermal SZ component shown in panel (c), both
methods produce maps with power spectra that lie close to the true spectrum at
lower multipoles. However, we again find that the MEM reconstruction remains
faithful out to larger multipoles (
) as compared to the WF
reconstruction (
).
Panels (d), (e) and (f) in Fig. 9 and 10 show the power
spectra of the MEM and WF reconstructions of the Galactic dust, free--free and
synchrotron. As expected, for the dust component both methods produce
reconstructions with power spectra that are very close to the power spectrum of
the true map over a large range of multipoles. The power spectrum of the MEM
reconstruction is indistinguishable from that of the true map up to
, whereas the WF reconstruction becomes inaccurate at
. For the free--free component, both MEM and WF produce reconstructions
with power spectra that slightly underestimate the true spectrum over the
entire range of measured multipoles. Finally, the power spectra of the
synchrotron reconstructions show the MEM technique reproduces the true power
spectrum to moderate accuracy for
, whereas the WF reconstruction
underestimates the true power spectrum for all multipoles.
Figure 11: (a) The input kinetic SZ map convolved to the lowest Planck
Surveyor angular resolution of 33 arcmin. (b) The MEM reconstruction of the
kinetic SZ effect. The map units are equivalent thermodynamic temperature in
.
As discussed in the companion paper, a central assumption of the Wiener filter method is that the fields to be reconstructed are well described by Gaussian statistics. This is clearly not a valid assumption for either the kinetic or thermal SZ effects for which the emission consists of sharp peaks. Thus we would expect that it is in the reconstruction of this component especially that the difference between the MEM and WF approaches would be most apparent.
Unfortunately, the small magnitude of the kinetic SZ, together with a frequency spectrum identical to that of the primary CMBR fluctuations, means that neither of the methods is capable of reconstructing this component very accurately. Nevertheless, both methods do make marginal detections of the kinetic SZ effect in some clusters. Fig. 11 shows the MEM reconstruction of the kinetic SZ map compared to the true map convolved to the lowest Planck Surveyor resolution of 33 arcmin; it is in this lowest frequency channel that the relative contribution of the kinetic SZ effect to the total emission is highest. From the figure, we see that the MEM algorithm has recovered the kinetic SZ effect at this lowest resolution, but only in a few clusters. By comparing these maps with the MEM thermal SZ reconstruction in Fig. 5(c), we see that these clusters are those with the largest thermal SZ effects. Conversely, the largest kinetic SZ effect in the true map is not recovered with any accuracy, since by chance it corresponds to a cluster with a small thermal SZ effect.
For the thermal SZ, we see from Figs 5(c) and 6(c) that both the MEM and WF algorithms reproduce the main features present in the input map, but that MEM reconstructs the thermal SZ effect in many more clusters than the WF and that the magnitude of the reconstructed effects using MEM are closer to those in the input map. This observation is confirmed by investigating the errors on the reconstructed maps and by comparing the power spectra of the input map and the reconstructions.
It is hoped that Planck Surveyor observations of the thermal SZ effect,
together with follow-up X-ray observations of the relevant galaxy clusters,
will provide a large catalogue of
determinations to supplement the value
of
obtained from the accurate measurement of the primordial CMBR power
spectrum. In order for this to be possible, however, the density profile of the
clusters must be known. Furthermore, an accurate determination of the density
profile of a cluster enables the construction of optimal filters, tuned to the
individual cluster characteristics, that may enable the magnitude of the
kinetic SZ to be recovered more accurately and hence allow its peculiar radial
velocity to be measured to greater precision (Haehnelt & Tegmark (1996)). Clearly, a
large catalogue of radial cluster velocities measured across the whole sky
would be an invaluable resource for the investigation of large-scale motions in
the Universe.
Fig. 12 shows the MEM and WF reconstructions of the thermal SZ profiles for a few typical clusters. These profiles are plotted as dashed lines and dotted lines respectively and are produced by making cuts through the reconstructed maps shown in Figs 5(c) and 6(c). The reconstructions are compared with the true cluster profiles convolved with a Gaussian beam of FWHM 10 arcmin, which are plotted as solid lines. Such a convolution is necessary in order to make a meaningful comparison since, as we see from Fig. 3, the thermal SZ effect is severely dominated by dust emission and pixel noise in the frequency channels above 100 GHz, which have the highest angular resolutions. Thus the Planck Surveyor observations contain very little information on the thermal SZ effect at angular resolutions higher than about 10 arcmin.
From Fig. 12 we see that the MEM reconstruction of both the peak magnitude of the SZ effect and the cluster profile are closer to the true maps than those produced by the WF. We note that, as expected, the WF underestimates the magnitude of the effect and reconstructs profiles that are far less peaked. At first sight, however, it appears that the MEM reconstructions also contain several spurious features as compared to the input profiles. This appears to have occurred most dramatically in the top panel of the figure, on the right-hand side of the central cluster profile. In fact, this phenomenon illustrates the care that must taken in interpreting plots of this type, since this feature is in fact present in the true map, but has been smoothed out by convolving the image to 10 arcmin resolution. The reason it is present in the MEM reconstruction is that the effective resolution of the MEM (and WF) reconstructions can vary across the map, depending on the level of the recovered process compared to the other processes and the pixel noise. Thus, in some regions, some super-resolution is possible which leads to the reconstruction of features that are considerable smoothed by the convolution with the 10 arcmin beam. In different regions, however, where the other physical components happen to have high levels of emission, or the level of pixel noise is greater, than this super-resolution does not occur.
Figure 12: The cluster profiles of some SZ effect reconstructions
compared to the input profiles convolved with a 10 arcmin beam (solid line).
The full MEM with full ICF information was used to reconstruct the dashed line
whereas the quadratic approximation to this was used to reconstruct the dotted
line.
Throughout subsection 3.1, the reconstructions were made assuming full
ICF information, which consists of a knowledge of the azimuthally-averaged
power spectrum of each input map, together with cross-correlation information.
In this subsection, we consider the opposite extreme and obtain MEM and WF
reconstructions assuming virtually no ICF information. In this case we assume
no cross-correlations between components (so that the ICF matrix
is
diagonal) and initially we assume the power spectrum of each component to be
constant for all measured Fourier modes and normalised to give approximately
the observed rms fluctuation in the corresponding map.
In this case, it is no longer possible in principle to distinguish between the primordial CMBR fluctuations and the kinetic SZ effect, since they have the same frequency characteristics, and initially the same power spectrum (to within a normalisation constant). Nevertheless, we find that by attempting to reconstruct the kinetic SZ effect in this case, the reconstructions of the other components are not noticeably affected. Thus, in this section, we still attempt to reconstruct all six components. For the MEM solution the reconstruction process is iterated, as discussed in the companion paper, but this is not possible for the WF technique since the solution in this case tends to zero. Hence, for the WF only the original solution is presented.
Figure 13: MEM reconstruction of the
-degree
maps of the input components shown in Fig. 1, using no power spectrum
information (see text). The components are: (a) primary CMBR fluctuations; (b)
kinetic SZ effect (c) thermal SZ effect; (c) Galactic dust; (d) Galactic
free--free; (e) Galactic synchrotron emission. Each component is plotted at 300 GHz and has been convolved with a Gaussian beam of FWHM equal to 4.5 arcmin.
The map units are equivalent thermodynamic temperature in
.
Figure 14: Wiener filter reconstruction of the
-degree maps of the six input components shown in Fig. 9,
using no power spectrum information (see text).
Figs 13 and 14 show respectively the MEM and WF reconstructions of the six input components. Once again, for comparison purposes, the greyscales in these figures are chosen to coincide with those in Fig. 1. Comparing these figures with the input maps, we see that by assuming no ICF information, the overall quality of the reconstructed maps has been somewhat reduced, in particular for the WF.
It is encouraging to note that both the MEM and WF reconstructions of the CMBR, shown in panel (a) of each figure, still closely resemble the true input map. This is also true for the reconstructions of the dust emission shown in panel (d) of each figure. As mentioned in section 2, it is possible, by simple visual inspection of the data maps at each observing frequency, to distinguish the CMBR and dust contributions quite clearly, and so we would indeed hope that any reasonable separation algorithm would be able to reconstruct these components with some accuracy.
The quality of both the MEM and WF reconstructions of the free--free and synchrotron components has been significantly reduced by assuming no ICF information. We do see, however, that the MEM reconstruction of the free--free component does contain the main features of the input map, but smoothed to a much lower resolution. For the synchrotron component, shown in panel (f), the MEM and WF algorithms have failed to produce any reconstruction of the input map.
As expected, the quality of the MEM and WF reconstructions differs most for the thermal SZ effect, shown in panel (c) of each figure. Although the MEM reconstruction is not as accurate as that obtained assuming full ICF information, it still provides a reasonable representation of the main features of the input map. This is certainly not true for the WF reconstruction which contains only very low-level features at the positions of the few largest peaks.
The rms of the residuals for each set of reconstructions are given in Table 4.
Table 4: The rms of the residuals in the MEM and WF
reconstructions shown in Figs 13 and 14, which assume no ICF
information.
We see from the table that the MEM reconstruction of the CMBR has a significantly lower rms error than the WF reconstruction and is only marginally less accurate than that obtained assuming full ICF information. Indeed, once again, the rms error of the MEM reconstructions of the other components are again consistently lower than the corresponding WF reconstructions.
Figure 15: Comparison of the input maps with the
maps reconstructed using the MEM algorithm with no ICF information. The
horizontal axes show the input map amplitudes and the vertical axes show the
corresponding reconstructed amplitudes. The contours contain 68, 95 and 99 per
cent of the pixels respectively.
Figure 16: As for Fig. 15, but for the Wiener filter
reconstruction with no ICF information.
Figs 15 and 16 show the distribution of pixel temperatures in the MEM and WF reconstructions as compared to the pixel temperatures in the corresponding input maps. Table 5 gives the gradient of the best-fit straight line through the origin for each component.
The confidence limits for pixel temperatures in the reconstructed CMBR maps are
shown in panel (a) in each figure. We see that for most input temperatures the
confidence contours are somewhat narrower for the MEM reconstruction than for
the WF, and this is reflected in its lower
value. At high input
temperatures, however, the 95 and 99 per cent limits become slightly wider for
the MEM reconstruction. From Table 5 we also notice that the
best-fit straight line through the origin has a slope of approximately 0.89 for
the WF as compared to a value of 0.97 for the MEM reconstruction. Thus in the
absence of ICF information the WF reconstruction underestimates the true
temperature in each pixel of the CMBR map.
Panel (c) in Figs 15 and 16 shows the confidence limits for the reconstructions of the thermal SZ. We see for the MEM algorithm that the confidence contours are slightly wider than those in Fig. 7(c), obtained assuming full ICF information. The best-fit straight line through the origin again has a slope significantly smaller than unity, indicating that magnitudes of the thermal SZ effects are underestimated, but its slope is close to that obtained with full ICF information. For the WF reconstruction, however, the best-fit line now has a slope very close to zero.
The confidence contours for the WF and MEM reconstructions of the dust component, shown in panel (d) of each figure, are again indistinguishable and clearly show that the dust is once more the most accurately reconstructed component. Finally, from panels (e) and (f) in Fig. 16, we see that the both MEM and WF perform badly on the reconstruction of the other two Galactic components (in fact only the MEM reconstruction of the free--free is significantly different from a null reconstruction).
Table 5: The gradients of the best-fit straight
line through the origin for the comparison plots shown in Figs 15 and
16 for the MEM and WF reconstructions, which assume no ICF
information.
For the reconstruction presented in this section the assumed power spectra of the input components were constant for all measured Fourier modes. It is therefore of particular interest to investigate the power spectra of the reconstructed maps in this case.
The reconstructed power spectra are calculated in the same manner as that outlined in subsection 3.1, as are the errors bars. The resulting power spectra are plotted in Figs 17 and 18 for the MEM and WF reconstructions respectively.
The power spectrum of the reconstructed CMBR maps are shown in panel (a) of
each figure, and we see that the MEM and WF techniques produce noticeably
different results. For the MEM reconstruction the power spectrum closely
follows the true spectrum out to
, at which point it drops
rapidly to zero. For the WF reconstruction, however, the features in the power
spectrum match those in the true spectrum for
, and then slightly
underestimate the true power for
--1500. At higher
multipoles, the power spectrum of the WF reconstruction contains a spurious
hump, which results in an overestimate of the true power spectrum for
--
, before the power spectrum finally tends to zero.
For MEM and WF reconstructions of the thermal SZ map, the corresponding power
spectra are shown in panel (c) of each figure. We see that the power spectrum
of the MEM reconstruction is reasonably accurate out to
, but
does overestimate the power slightly over this range. At higher multipoles, we
again find that the MEM power spectrum drops rapidly to zero. The power
spectrum of the WF reconstruction underestimates to true power at high
multipoles and is only reasonably accurate for
.
Figure 17: The power spectra of the input maps (bold line)
compared to to the power spectra of the maps reconstructed using MEM with no
ICF information (faint line). The dotted lines show one sigma confidence limits
on the reconstructed power spectra.
Figure 18: As for Fig. 17, but for the WF reconstruction with no
ICF information.
Panels (d), (e) and (f) in Figs 17 and 18 show the power
spectra of the MEM and WF reconstructions of the Galactic dust, free--free and
synchrotron. For the dust component, we see that the power spectrum of the MEM
component follows the true power spectrum up to
, before
dropping rapidly to zero. For the WF reconstruction, however, the recovered
power spectrum is accurate up to
, but then exhibits a
spurious hump which results in the overestimation of the true power at all
higher multipoles. The power spectra of the reconstructed free--free maps are
shown in panel (e) of each figure. We see that the MEM reconstruction is
accurate for
, but then underestimates the true power at higher
multipoles, whereas the WF reconstructions underestimates the true power at all
multipoles. For the synchrotron component, the MEM and WF reconstructions
underestimate the true power at all multipoles (indeed the reconstruction is
not seen).
From Figs 13 and 14 we see that assuming no ICF information leads to a substantial difference in the quality of the MEM and WF reconstructions of the thermal SZ effect. We find that the MEM reconstruction is only marginally less accurate than that obtained assuming full ICF information, but the WF reconstruction is considerably poorer in this case.
Fig. 19 shows cuts through the MEM and WF reconstructions that coincide with several typical clusters. The reconstructed MEM and WF cluster profiles are plotted as dashed lines and dotted lines respectively and are again compared with the true cluster profiles convolved with a Gaussian beam of FWHM 10 arcmin (solid line). From the figure we see that there is indeed a considerable difference between the MEM and WF reconstructions. The cluster profiles in the MEM reconstruction are reasonable approximations to the input profiles, although the reconstructed peak values are slightly lower in most cases. For the WF reconstruction, however, the cluster profiles are very poorly approximated indeed, with the peak value often underestimated by an order of magnitude.