Proceedings of the Particle Physics and Early Universe Conference (PPEUC).
For this paper: postscript previous 2 Basic assumption... up Abstract... next 4 Discussion and conclusions...

3 Susceptibility to various systematic effects  

Small fluctuations in each of the terms , , , , and (generically denoted as ) appearing in equation 2 will lead to a change in the observed signal which can mimic a true sky fluctuation according to:

 

The results of section 2 can be used to calculate the susceptibility of the radiometer to each source of spurious fluctuation.

3.1 Sensitivity to amplifier noise temperature variations 

In this section, we will calculate the change in the output signal for a small change in the noise temperature of one of the amplifiers. We start with equation 2, let , and then consider the derivative of the output with respect to :

 

Note that:

 

Putting these together, one finds that a change in amplifier noise temperature, can mimic a change in input signal, . Incorporating the fact that both amplifiers (which have uncorrelated noise) can contribute increases this effect by (this is equivalent to adding the two contributions in quadrature). The result is:

 

If the reference load is at the same temperature as the sky, then (no DC gain difference) and there is no effect to worry about. As departs from 1 the effect is of more concern.

Given this, we must now calculate the post-detection frequency, , at which the contributions from gain fluctuations are equal to the white noise from an ideal radiometer:

 

The ideal sensitivity of the radiometer is (see the Seiffert et al. (1997) for a detailed discussion):

 

Substituting for the two sides of equation (13) one gets

 

Dividing each side by and rearranging yields:

 

We will use and Hz. Finally, by using equation 8 for the noise temperature fluctuations, we have the knee frequency

 

Assuming a 20% bandwidth for our frequency channels and an antenna temperature K, we tabulate the resulting knee frequencies in column 4 of Table 1 for several choices of , and the corresponding values of .

 
Table 1:   knee frequency for PLANCK LFI radiometers.

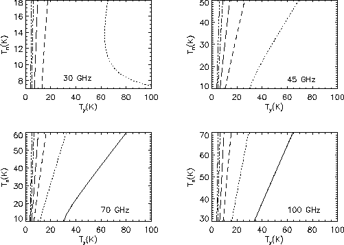
From equation 17 it results that that in the space , , the curves of equal are hyperboles on any plane parallel to the plane , . Figure 2 shows several curves of equal for the four considered frequencies. The knee frequency must be compared to the spin frequency ; for the PLANCK observational strategy r.p.m., i.e. 0.017 Hz.

 
Figure 2:  The curves of equal on the plane , are plotted; an antenna temperature K is assumed. Each panel refers to a different frequency channel (30, 45, 70 and 100 GHz). The different lines refer to: (Hz) = 0.3 (solid line), 0.1 (dotted line), 0.03 (dashed line), 0.01 (long dashes), 0.003 (dotted-dashed line), 0.001 (three dots-dashes). For the channels at 30 and 45 GHz the case Hz does not occur independently of cooling optimisation and is not reported.

3.2 Overall effect 

This radiometer is not sensitive to gain fluctuations in first order. We have indeed calculated how the output will change with respect to a small change in the gain of one of the amplifiers.

In the case and by using the expression for , we have obtained that the output change cancels completely. The conclusion is that, to first order, gain fluctuations in the both amplifiers do not mimic a sky signal fluctuation. We note that the second order cross terms are not zero, but contribution is too small to be of concern here.

By carrying out analogous calculations, we derive the output changes mimicked by reference load fluctuations and by fluctuations in ; we find respectively: and . Therefore they are equal to the white noise respectively for and . In these cases the fluctuations in or became important.

We have above discussed to what extent fluctuations in the different parts of our radiometer can mimic true signal variations. A complete treatment of all contributions together is quite difficult. On the other hand, under the assumption that all fluctuations terms are uncorrelated, an estimate of their global effect can be derived by comparing the change of due to a true sky temperature variation with the quadrature sum of the signal mimicked by the different instrumental effects.

By using the above results, in the case , , after algebraic manipulations we have:

 

The basic information of the above equation was already implicit in the equation 11 of Bersanelli et al. (1995), when is derived from the condition (with the present notation for the interesting quantities), and its fluctuations are obtained by the sum in quadrature of the fluctuations of , and . We note that in equation 18 the two terms related to the two amplifiers gain fluctuations do not appear, because they are negligible at first order, as previously discussed.

We can also see from this equation that the effect of white noise fluctuations in or is to raise the overall white noise level, thereby lowering the knee frequency (but decreasing the overall sensitivity). On the other hand the limits on and fluctuations given above can be realistically met with present technology.

More generally, the fluctuations in and may have a complicated spectral shape. In this case, a single knee frequency and white noise level are an inadequate description of the noise; one must instead consider the shape of the composite noise spectrum.


PPEUC Proceedings
Thu Jul 17 14:29:26 BST 1997